МатематикаМатематика

Пропускайте вопрос, если не знаете правильного ответа. Не пользуйтесь интернетом и не просите помощи у знакомых. Искажение результата теста может существенно повлиять на качество и сроки обучения.

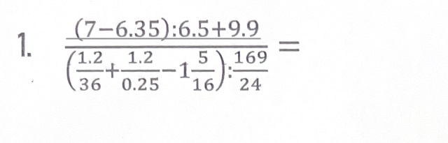
  • 1.

    Вычислить:

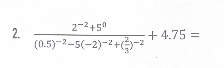
  • 2.

    Вычислить:

  • 3.

    Вычислить:

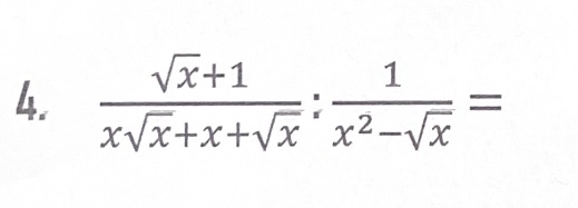
  • 4.

    Упростить выражение:

  • 5.

    Решить уравнение: 3(x+7)+2(x+5)=4(x+8)

  • 6.

    Найти произведение наименьшего и наибольшего четырехзначных чисел записанных с помощью цифр 2 и 0

  • 7.

    Разность квадратов двух чисел равна 48, а сумма этих чисел равна 6. Найдите произведение этих чисел

  • 8.

    56% поступивших в магазин арбузов продали в первый день. Остальные 132 арбуза были проданы во второй день. Сколько арбузов продали в первый день?

  • 9.

    Упростить:

  • 10.

    Решить квадратное уравнение: